Mac Mohan Rekha Sthit Hai

Isbn 978 81 925489 2 0 Ramniranjan Jhunjhunwala College
All Categories Lostbell

A Carnival Of Parting

Gmail Facebook Style Jquery Chat Anant Garg

South 24 Pgs From Sl No 1 To 2113 Teachers With Wbsed Gov In

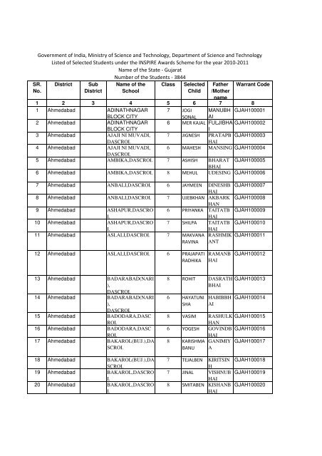
Gujarat 22010 11 1 Xlsx Department Of Science Technology
Chronik Des Hindunationalismus Ab 1947 08 14 Bis 2013
Can Someone Please Remind This Dumbfuck Humans Of Hindutva
Chronik Des Hindunationalismus Ab 1947 08 14 Bis 2013
Guitartabx V1 30 For Macintosh